
文章图片

文章图片
【科学家|有机人名反应——Paal-Knorr吡咯合成】
文章图片

Paal-Knorr吡咯合成
Paal-Knorr合成法是指以14-二羰基化合物为原料环化合成呋喃、吡咯或噻吩化合物的一种方法 。 原料与氨或伯胺反应生成吡咯环系 , 反应称为Paal-Knorr吡咯合成 , 是一个常用的合成吡咯衍生物的有机反应 。 反应产物烯丙胺经转化可以得到许多含氮的天然产物和生物分子 。
几乎所有的14-二酮及其衍生物都可以很好的进行反应;用于该反应的胺的种类很多 , 包括氨水 , 脂肪胺 , 缺电子和多电子的芳香胺 , 以及含有杂环的胺(如氨基吡啶);αω-二胺通过其氮原子可以生成二吡咯衍生物;除了质子酸 , 特定的Lewis酸如Ti(Oi-Pr)4等也可以催化该反应;溶剂可以使用极性质子溶剂 , 偶极非质子溶剂甚至非极性溶剂;产率很好 , 有时接近定量 。
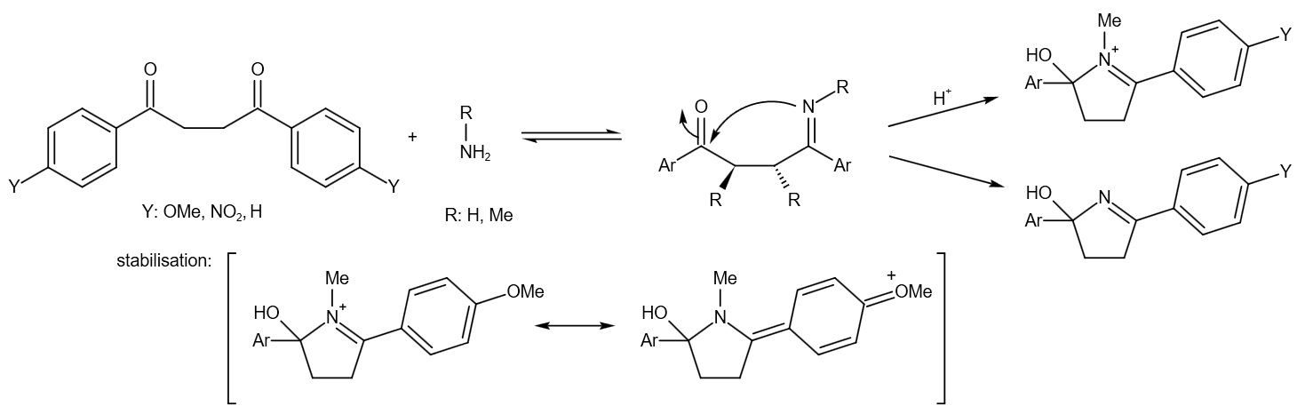
反应机理
Venkataraman Amarnath(J. Org. Chem. 1991 56 6924)表明 , meso- 和dl-34-diethyl-25-hexanediones环化的速率不相等 , 并且在反应过程中保留了未改变的二酮的立体构型 。 必须排除以下任何一种机制 , 例如以下涉及在速率确定步骤(环化)之前形成烯胺的机制 。
如果该环是由伯胺生成的亚胺形成的 , 则带电荷的铵离子必须是中间体 。 Amarnath尝试使用不同的芳基作为取代基来稳定或破坏铵离子:
氨的使用应产生不带电荷的中间体 , 因此较少受取代基选择的影响 。 取代基还影响亚胺的碱性 , 其中硝基导致更碱性的亲核试剂 。 已经使用氨和甲胺比较了环化速率 。 硝基在每种情况下均对反应速率产生积极影响 。 在每种情况下 , 甲氧基对环化率均具有负面影响 。 所有底物(R:H , Me)的相对反应速率的比较表明 , 对于涉及铵离子的可能机理没有特定的稳定/去稳定作用 。
解释不同取代模式(meso , dl)的影响并解释对硝基苯基使亲核试剂更具反应性(尽管不是亚胺)的影响的机制包括半缩醛的环化 , 然后是不同的脱水步骤:
- 科学家|科学家预言:“未来人类将培育出所有人体器官。”
- 科学家|中国跨越式发展!“人造粮食”研发大获成功,有望解决粮食危机?
- 科学家|宇宙中五个让人不能深思的问题,越想越觉得不可思议
- 微生物|吸氧90天,年轻25岁?以色列科学家:不是一般的氧气
- 科学家|南非科学家发现新病毒变种
- 蜜蜂|科学家苦苦研究:骑自行车为何不会倒?却至今都是未解之谜
- 科学家|重大创举!科学家将活体人脑切下放培养皿,成功存活12小时
- |科学家提出在火星上创造生命的第一步
- 科学家|科学家称:南非发现的新变种的突变证明,这是病毒进化的巨大飞跃!
- 科学家|在地球上一直存在,但却让科学家无法解释的7个未解谜团
